Упр.692 ГДЗ Мерзляк Полонский 6 класс (Математика)
Решение #1
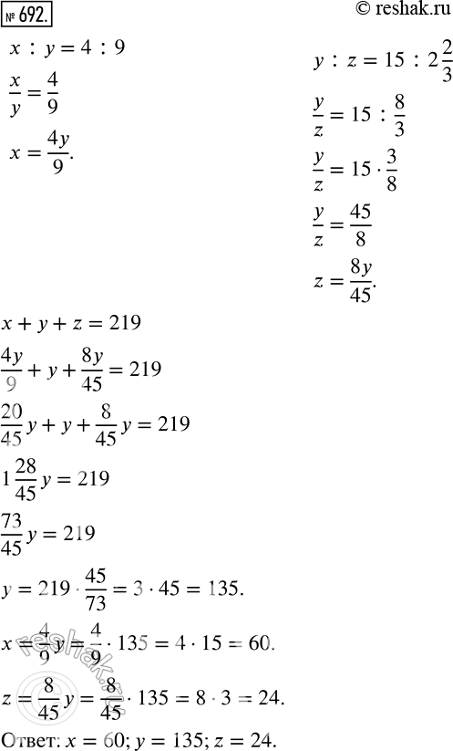
Решение #2

Рассмотрим вариант решения задания из учебника Мерзляк, Полонский, Якир 6 класс, Вентана-Граф:
692. Представьте число 219 в виде суммы трёх слагаемых x, у и z так, чтобы х : у = 4 : 9, а у : z = 15 : 2 * 2/3.
*размещая тексты в комментариях ниже, вы автоматически соглашаетесь с пользовательским соглашением